- Find the distance between the following pairs of points:
(i) (2, 3), (4, 1)
(ii) (-5, 7), (-1, 3)

(iii) (a, b), (-a, -b)

2.Find the distance between the points (0, 0) and (36, 15).
Solution: 
3.Determine if the points(1,5), (2, 3) and (-2, -11) are collinear.
Solution: 
4.Check whether (5, -2), (6, 4) and (7, -2) are the vertices of an isosceles triangle.
Solution: 
5.In a classroom, 4 friends are seated at the points A, B, C and D as shown in the given figure. Champa and Chameli walk into the class and after observing for a few minutes Champa asks Chameli, “Don’t you think ABCD is a square?” Chameli disagrees. Using distance formula, find which of them is correct.
Solution: 
6.Name the type of quadrilateral formed, if any, by the following points, and give reasons for your answer.
(i) (-1, -2), (1, 0), (-1, 2), (-3, 0)
(ii) (-3, 5), (3, 1), (0, 3), (-1, -4)
(iii) (4, 5), (7, 6), (4, 3), (1, 2)
Solution:

7.Find the point on the x-axis which is equidistant from (2, -5) and (-2, 9).
Solution: 
8.Find the values of y for which the distance between the points P (2, -3) and Q (10, y) is 10 units.
Solution: 
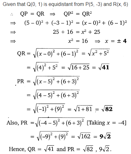
9.If Q (0, 1) is equidistant from P (5, -3), and R (x, 6), find the values of x. Also, find the distances QR and PR.
Solution: 
10.Find a relation between x and y such that the point (x, y) is equidistant from the points (3, 6) and (-3, 4).
Solution: 