exercise 9.1 class 10 answer key solution

1.A circus artist is climbing a 20 m long rope, which is tightly stretched and tied from the top of a vertical pole to the ground. Find the height of the pole, if the angle made by the rope with the ground level is 30°.
Solution:
Ex 9.1 Class 10 Maths NCERT Solutions PDF Q1

 


2.A tree breaks due to storm and the broken part bends so that the top of the tree touches the ground making an angle 30° with it. The distance between the foot of the tree to the point where the top touches the ground is 8 m. Find the height of the tree.
Solution:
Ex 9.1 Class 10 Maths NCERT Solutions PDF Q2

3.A contractor plans to install two slides for the children to play in a park. For the children below the age of 5 years, she prefers to have a slide whose top is at a height of 1.5 m, and is inclined at an angle of 30° to the ground, whereas for elder children, she wants to have a steep slide at a height of 3 m, and inclined at an angle of 60° to the ground. What should be the length of the slide in Ex 9.1 Class 10 Maths NCERT Solutions PDF Q3 each

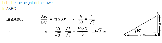
4.The angle of elevation of the top of a tower from a point on the ground, which is 30 m away from the foot of the tower is 30°. Find the height of the tower.
Solution:
Ex 9.1 Class 10 Maths NCERT Solutions PDF Q4


5.A kite is flying at a height of 60 m above the ground. The string attached to the kite is temporarily tied to a point on the ground. The inclination of the string with the ground is 60°. Find the length of the string, assuming that there is no slack in the string.
Solution:
Exercise 9.1 Class 10 Maths NCERT Solutions pdf Q5

6.A 1.5 m tall boy is standing at some distance from a 30 m tall building. The angle of elevation from his eyes to the top of the building increases from 30° to 60° as he walks towards the building. Find the distance he walked towards the building.
Solution:
Exercise 9.1 Class 10 Maths NCERT Solutions pdf Q6


7.From a point on the ground, the angles of elevation of the bottom and the top of a transmission tower fixed at the top of a 20 m high building are 45° and 60° respectively. Find the height of the tower.
Solution:
Exercise 9.1 Class 10 Maths NCERT Solutions pdf Q7

.
8.A statue, 1.6 m tall, stands on the top of a pedestal. From a point on the ground, the angle of elevation of the top of the statue is 60° and from the same point the angle of elevation of the top of the pedestal is 45°. Find the height of the pedestal.
Solution:
Exercise 9.1 Class 10 Maths NCERT Solutions pdf Q8


9.The angle of elevation of the top of a building from the foot of a tower is 30° and the angle of elevation of the top of the tower from the foot of the building is 60°. If the tower is 50 m high, find the height of the bu Class 10 Maths Chapter 9 NCERT Solutions Ex 9.1 pdf Q9


10.Two poles of equal heights are standing opposite each other on either side of the road, which is 80 m wide. From a point between them on the road, the angles of elevation of the top of the poles are 60° and 30° respectively. Find the height of the poles and the distance of the point from the poles.
Solution:
Class 10 Maths Chapter 9 NCERT Solutions Ex 9.1 pdf Q10

11.A TV tower stands vertically on a bank of a canal. From a point on the other bank directly opposite the tower, the angle of elevation of the top of the tower is 60°. From another point 20 m away from this point on the line joining this point to the foot of the tower, the angle of elevation of the top of the tower is 30° (see the given figure). Find the height of the tower and the width of the CD and 20 m from pole AB.
NCERT Solutions For Class 10 Maths Chapter 9 Some Applications of Trigonometry Ex 9.1 Q11
Solution:
Chapter 9 Maths Class 10 NCERT Solutions Ex 9.1 pdf Q11


12.From the top of a 7 m high building, the angle of elevation of the top of a cable tower is 60° and the angle of depression of its foot is 45°. Determine the height of the tower.
Solution:
Chapter 9 Maths Class 10 NCERT Solutions Ex 9.1 pdf Q12


13.As observed from the top of a 75 m high lighthouse from the sea-level, the angles of depression of two ships are 30° and 45°. If one ship is exactly behind the other on the same side of the lighthouse, find the distance between the two ships.
Solution:
Ch 9 Maths Class 10 NCERT Solutions Ex 9.1 pdf Q13

14.A 1.2 m tall girl spots a balloon moving with the wind in a horizontal line at a height of 88.2 m from the ground. The angle of elevation of the balloon from the eyes of the girl at any instant is 60°. After sometime, the angle of elevation reduces to 30° (see figure). Find the distance travelled by the balloon during the interval.
NCERT Solutions For Class 10 Maths Chapter 9 Some Applications of Trigonometry Ex 9.1 Q14
Solution:
Ch 9 Maths Class 10 NCERT Solutions Ex 9.1 pdf Q14


15.A straight highway leads to the foot of a tower. A man standing at the top of the tower observes a car at an angle of depression of 30°, which is approaching the foot of the tower with a uniform speed. Six seconds later, the angle of depression of the car is found to be 60°. Find the time taken by the car to reach the foot of the tower from this point.
Solution:
Some Applications Of Trigonometry Class 10 NCERT Solutions Pdf Ex 9.1 Q15